发布人:陈永佳 发布时间:2025-09-19 点击次数:
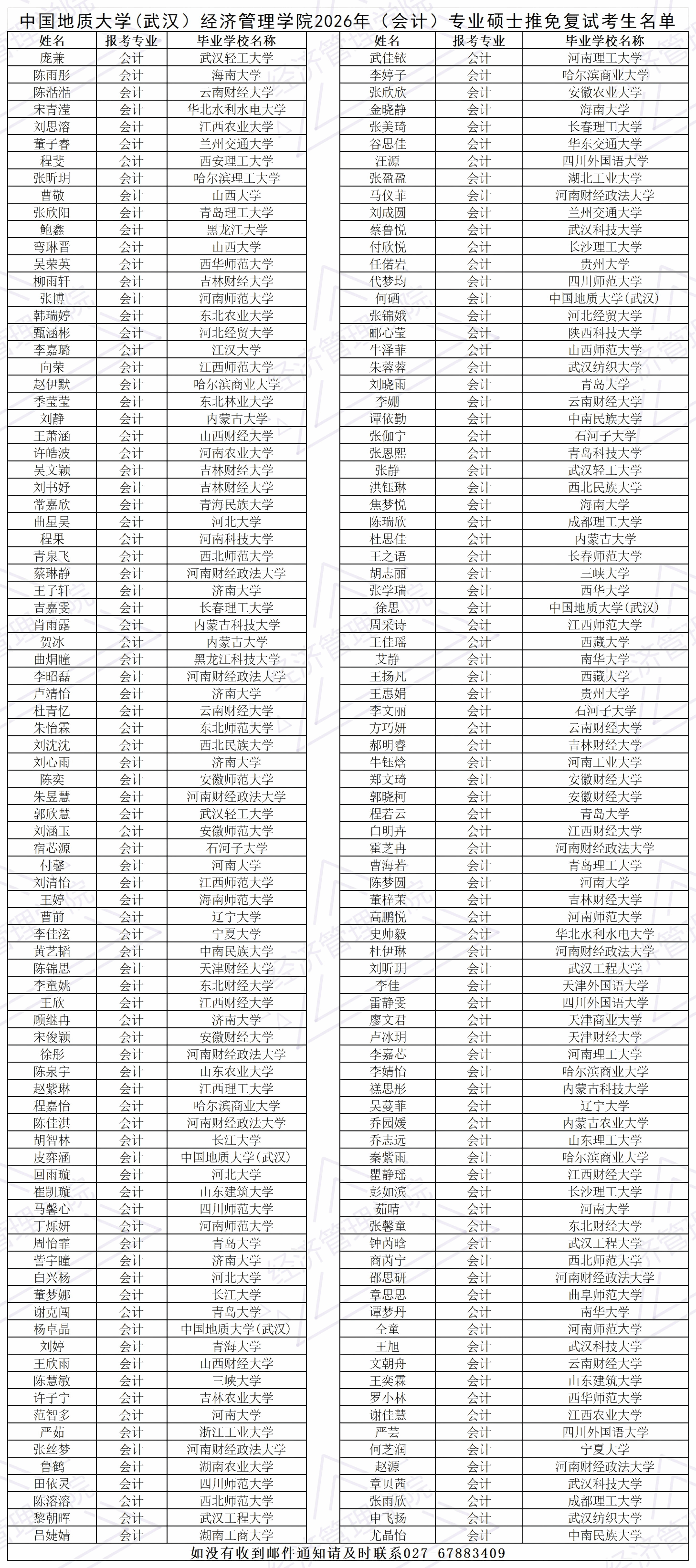
按照规定,已公示完毕。
365英国上市公司(集团)官方网站-首页|NO.1 地址:湖北省武汉市东湖新技术开发区锦程街68号
电话:027-67883201 邮编:430078
电子邮箱:jgxy@cug.edu.cn
ICP备案号:鄂ICP备05003343号